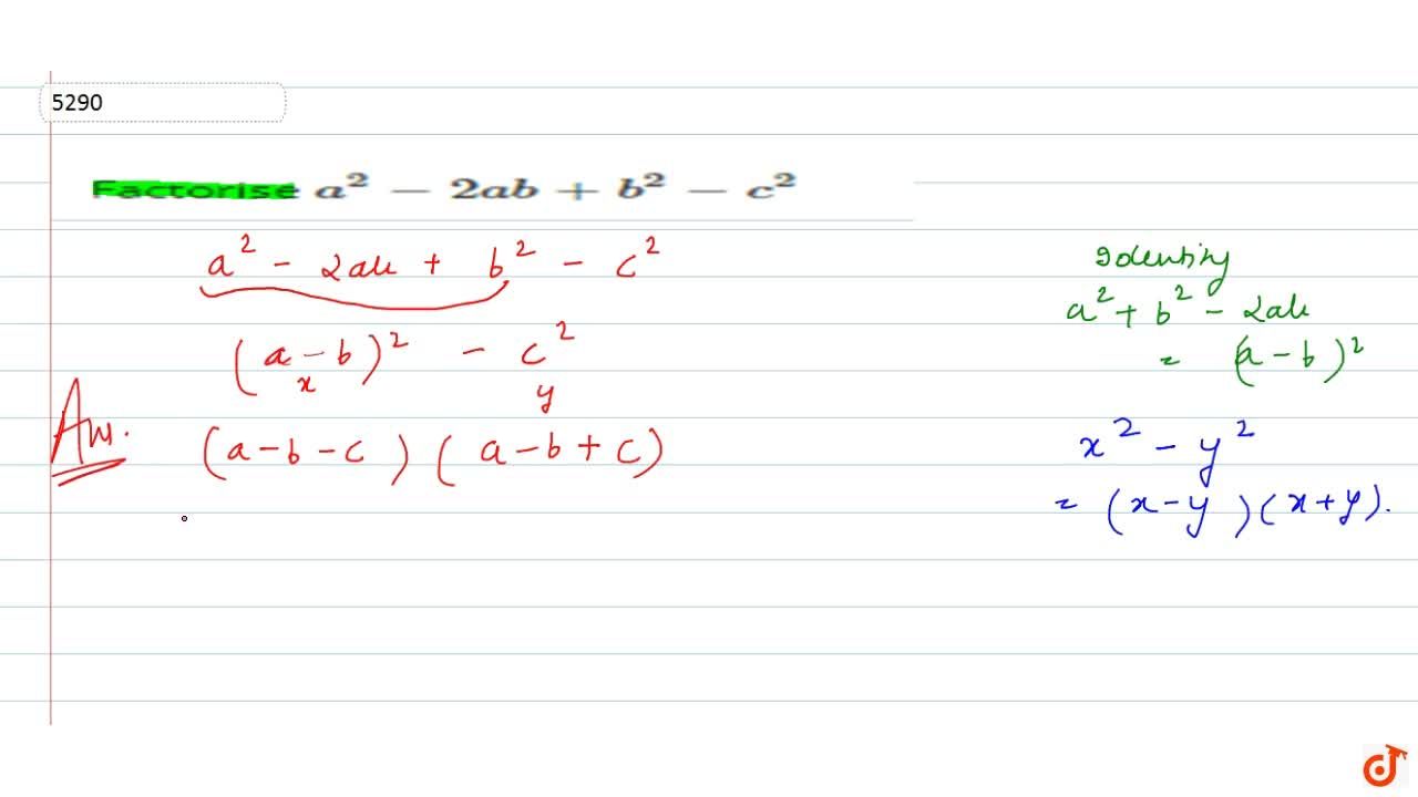
Factorise 2ab B2 C2 Brainly In
35 (36) (63) (33) Choose An Option That Best Describes Your ProblemExamples on a2 b2 c2 Formula Let us take a look at a few examples to better understand the formula of a 2 b 2 c 2 Example 1 Find the value of a 2 b 2 c 2 if a b c = 10 and ab bc ca = 2 Solution To find a 2 b 2 c 2 Given that a b c = 10 ab bc ca = 2 Using the a 2 b 2 c 2 formula,
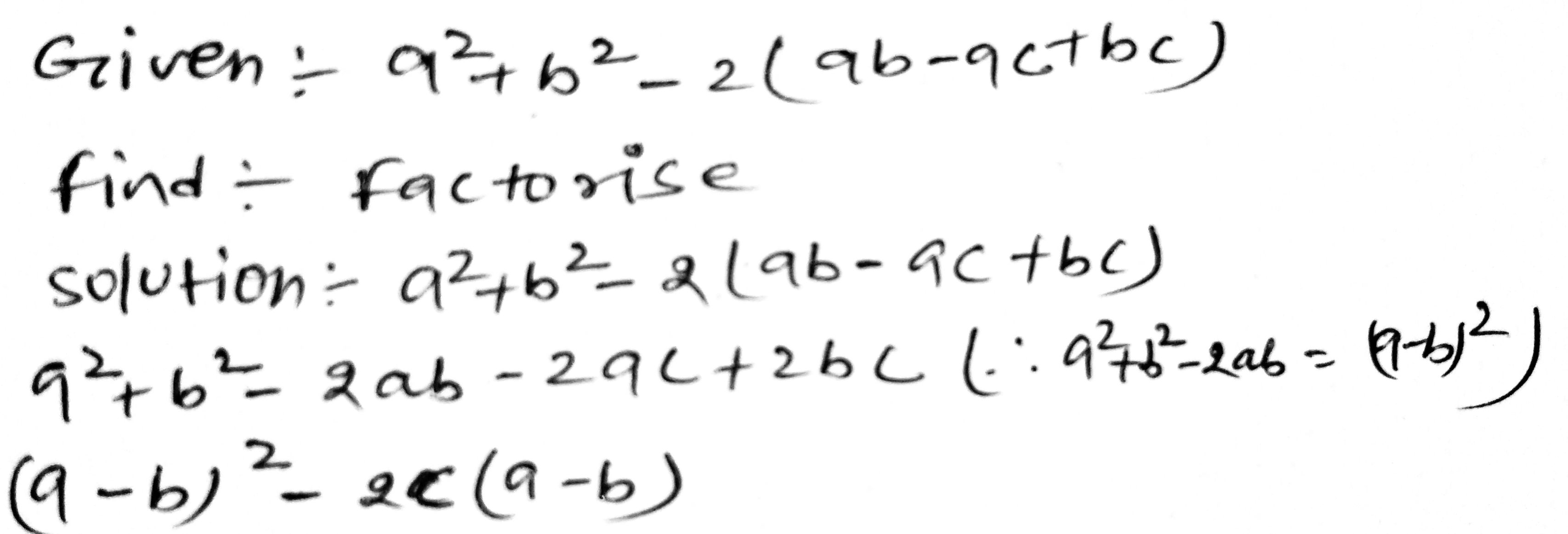
Factorise a2+b2+c2+2(ab+bc+ca)
Factorise a2+b2+c2+2(ab+bc+ca)-Share It On Facebook Twitter Email 1 Answer 1 vote answered by Ria (550k We know the identitiesLet's factorise using these identitiesx2 4x 4x2 4x 4= x2 4 4x= x2 (2)2 2 × 2 × xUsing(a b)2=a2b2 2abWherea=x, b = 2= (x 2)24x2 12x 94x2 12x 9= 4x2 9 12x= (2x)2 32 2 × 2x × 3Using (ab)2= a2 b2 2abWhere a = 2x, b = 3= (2 x 3 )2x2− 4x 4x2– 4x 4
Factorise A B B2 Class 9
Asked in Mathematics by AnjaliVarma (295k points) Factorise a 2 – ab – ca bc factorisation;A n b n = (a b)(a n1 a n2 b b n1) เมื่อ n เป็นจำนวนคี่ (a b) 2 = a 2 2ab b 2Factorize a2 b2 2 ab bc ca Login Study Materials NCERT Solutions NCERT Solutions For Class 12 NCERT Solutions For Class 12 Physics;
If b solve devide the sum of 25/12 and 5/3 by their difference the denominator of a rational number is greater than its denominator by 5 if the nominator is increased by 6 and the innominata is decreased by 4 the if a number is divisible by 6 it must be divisible by 12 true or falseSolution For Factorise a2−b22bc−c2 Solution For Factorise a2−b22bc−c2 About Us Become a Tutor Blog Download App Home Class 9 Mathematics Polynomials Question 5770 views Factorise a 2Factorise a2 – ab – ca bc Login Remember Register;
Factorise a2+b2+c2+2(ab+bc+ca)のギャラリー
各画像をクリックすると、ダウンロードまたは拡大表示できます
![]() Factorise A 3 B C 3 B 3 C A 3 C 3 A B 3 | ![]() Factorise A 3 B C 3 B 3 C A 3 C 3 A B 3 | Factorise A 3 B C 3 B 3 C A 3 C 3 A B 3 |
![]() Factorise A 3 B C 3 B 3 C A 3 C 3 A B 3 | ![]() Factorise A 3 B C 3 B 3 C A 3 C 3 A B 3 | ![]() Factorise A 3 B C 3 B 3 C A 3 C 3 A B 3 |
![]() Factorise A 3 B C 3 B 3 C A 3 C 3 A B 3 | ![]() Factorise A 3 B C 3 B 3 C A 3 C 3 A B 3 | ![]() Factorise A 3 B C 3 B 3 C A 3 C 3 A B 3 |
「Factorise a2+b2+c2+2(ab+bc+ca)」の画像ギャラリー、詳細は各画像をクリックしてください。
![]() Factorise A 3 B C 3 B 3 C A 3 C 3 A B 3 | Factorise A 3 B C 3 B 3 C A 3 C 3 A B 3 | ![]() Factorise A 3 B C 3 B 3 C A 3 C 3 A B 3 |
![]() Factorise A 3 B C 3 B 3 C A 3 C 3 A B 3 | ![]() Factorise A 3 B C 3 B 3 C A 3 C 3 A B 3 | ![]() Factorise A 3 B C 3 B 3 C A 3 C 3 A B 3 |
![]() Factorise A 3 B C 3 B 3 C A 3 C 3 A B 3 | Factorise A 3 B C 3 B 3 C A 3 C 3 A B 3 | ![]() Factorise A 3 B C 3 B 3 C A 3 C 3 A B 3 |
「Factorise a2+b2+c2+2(ab+bc+ca)」の画像ギャラリー、詳細は各画像をクリックしてください。
![]() Factorise A 3 B C 3 B 3 C A 3 C 3 A B 3 | Factorise A 3 B C 3 B 3 C A 3 C 3 A B 3 | ![]() Factorise A 3 B C 3 B 3 C A 3 C 3 A B 3 |
Factorise A 3 B C 3 B 3 C A 3 C 3 A B 3 | ![]() Factorise A 3 B C 3 B 3 C A 3 C 3 A B 3 | ![]() Factorise A 3 B C 3 B 3 C A 3 C 3 A B 3 |
![]() Factorise A 3 B C 3 B 3 C A 3 C 3 A B 3 | ![]() Factorise A 3 B C 3 B 3 C A 3 C 3 A B 3 | Factorise A 3 B C 3 B 3 C A 3 C 3 A B 3 |
「Factorise a2+b2+c2+2(ab+bc+ca)」の画像ギャラリー、詳細は各画像をクリックしてください。
Factorise A 3 B C 3 B 3 C A 3 C 3 A B 3 | ![]() Factorise A 3 B C 3 B 3 C A 3 C 3 A B 3 | Factorise A 3 B C 3 B 3 C A 3 C 3 A B 3 |
![]() Factorise A 3 B C 3 B 3 C A 3 C 3 A B 3 | ![]() Factorise A 3 B C 3 B 3 C A 3 C 3 A B 3 | Factorise A 3 B C 3 B 3 C A 3 C 3 A B 3 |
![]() Factorise A 3 B C 3 B 3 C A 3 C 3 A B 3 | ![]() Factorise A 3 B C 3 B 3 C A 3 C 3 A B 3 | ![]() Factorise A 3 B C 3 B 3 C A 3 C 3 A B 3 |
「Factorise a2+b2+c2+2(ab+bc+ca)」の画像ギャラリー、詳細は各画像をクリックしてください。
![]() Factorise A 3 B C 3 B 3 C A 3 C 3 A B 3 | ![]() Factorise A 3 B C 3 B 3 C A 3 C 3 A B 3 | ![]() Factorise A 3 B C 3 B 3 C A 3 C 3 A B 3 |
![]() Factorise A 3 B C 3 B 3 C A 3 C 3 A B 3 | ![]() Factorise A 3 B C 3 B 3 C A 3 C 3 A B 3 | ![]() Factorise A 3 B C 3 B 3 C A 3 C 3 A B 3 |
Factorise A 3 B C 3 B 3 C A 3 C 3 A B 3 | ![]() Factorise A 3 B C 3 B 3 C A 3 C 3 A B 3 | ![]() Factorise A 3 B C 3 B 3 C A 3 C 3 A B 3 |
「Factorise a2+b2+c2+2(ab+bc+ca)」の画像ギャラリー、詳細は各画像をクリックしてください。
![]() Factorise A 3 B C 3 B 3 C A 3 C 3 A B 3 | ![]() Factorise A 3 B C 3 B 3 C A 3 C 3 A B 3 | Factorise A 3 B C 3 B 3 C A 3 C 3 A B 3 |
Factorise A 3 B C 3 B 3 C A 3 C 3 A B 3 | ![]() Factorise A 3 B C 3 B 3 C A 3 C 3 A B 3 | ![]() Factorise A 3 B C 3 B 3 C A 3 C 3 A B 3 |
![]() Factorise A 3 B C 3 B 3 C A 3 C 3 A B 3 | ![]() Factorise A 3 B C 3 B 3 C A 3 C 3 A B 3 | ![]() Factorise A 3 B C 3 B 3 C A 3 C 3 A B 3 |
「Factorise a2+b2+c2+2(ab+bc+ca)」の画像ギャラリー、詳細は各画像をクリックしてください。
![]() Factorise A 3 B C 3 B 3 C A 3 C 3 A B 3 | Factorise A 3 B C 3 B 3 C A 3 C 3 A B 3 | ![]() Factorise A 3 B C 3 B 3 C A 3 C 3 A B 3 |
Factorise A 3 B C 3 B 3 C A 3 C 3 A B 3 | Factorise A 3 B C 3 B 3 C A 3 C 3 A B 3 | ![]() Factorise A 3 B C 3 B 3 C A 3 C 3 A B 3 |
Factorise A 3 B C 3 B 3 C A 3 C 3 A B 3 | ![]() Factorise A 3 B C 3 B 3 C A 3 C 3 A B 3 | ![]() Factorise A 3 B C 3 B 3 C A 3 C 3 A B 3 |
「Factorise a2+b2+c2+2(ab+bc+ca)」の画像ギャラリー、詳細は各画像をクリックしてください。
Factorise A 3 B C 3 B 3 C A 3 C 3 A B 3 | ![]() Factorise A 3 B C 3 B 3 C A 3 C 3 A B 3 | ![]() Factorise A 3 B C 3 B 3 C A 3 C 3 A B 3 |
![]() Factorise A 3 B C 3 B 3 C A 3 C 3 A B 3 | ![]() Factorise A 3 B C 3 B 3 C A 3 C 3 A B 3 | ![]() Factorise A 3 B C 3 B 3 C A 3 C 3 A B 3 |
![]() Factorise A 3 B C 3 B 3 C A 3 C 3 A B 3 | ![]() Factorise A 3 B C 3 B 3 C A 3 C 3 A B 3 | Factorise A 3 B C 3 B 3 C A 3 C 3 A B 3 |
「Factorise a2+b2+c2+2(ab+bc+ca)」の画像ギャラリー、詳細は各画像をクリックしてください。
Factorise A 3 B C 3 B 3 C A 3 C 3 A B 3 | ![]() Factorise A 3 B C 3 B 3 C A 3 C 3 A B 3 | ![]() Factorise A 3 B C 3 B 3 C A 3 C 3 A B 3 |
![]() Factorise A 3 B C 3 B 3 C A 3 C 3 A B 3 | ![]() Factorise A 3 B C 3 B 3 C A 3 C 3 A B 3 | ![]() Factorise A 3 B C 3 B 3 C A 3 C 3 A B 3 |
![]() Factorise A 3 B C 3 B 3 C A 3 C 3 A B 3 | ![]() Factorise A 3 B C 3 B 3 C A 3 C 3 A B 3 | ![]() Factorise A 3 B C 3 B 3 C A 3 C 3 A B 3 |
「Factorise a2+b2+c2+2(ab+bc+ca)」の画像ギャラリー、詳細は各画像をクリックしてください。
![]() Factorise A 3 B C 3 B 3 C A 3 C 3 A B 3 | ![]() Factorise A 3 B C 3 B 3 C A 3 C 3 A B 3 | ![]() Factorise A 3 B C 3 B 3 C A 3 C 3 A B 3 |
Factorise A 3 B C 3 B 3 C A 3 C 3 A B 3 | Factorise A 3 B C 3 B 3 C A 3 C 3 A B 3 | Factorise A 3 B C 3 B 3 C A 3 C 3 A B 3 |
Factorise A 3 B C 3 B 3 C A 3 C 3 A B 3 | ![]() Factorise A 3 B C 3 B 3 C A 3 C 3 A B 3 | ![]() Factorise A 3 B C 3 B 3 C A 3 C 3 A B 3 |
「Factorise a2+b2+c2+2(ab+bc+ca)」の画像ギャラリー、詳細は各画像をクリックしてください。
Factorise A 3 B C 3 B 3 C A 3 C 3 A B 3 | ![]() Factorise A 3 B C 3 B 3 C A 3 C 3 A B 3 | ![]() Factorise A 3 B C 3 B 3 C A 3 C 3 A B 3 |
![]() Factorise A 3 B C 3 B 3 C A 3 C 3 A B 3 | ![]() Factorise A 3 B C 3 B 3 C A 3 C 3 A B 3 | ![]() Factorise A 3 B C 3 B 3 C A 3 C 3 A B 3 |
![]() Factorise A 3 B C 3 B 3 C A 3 C 3 A B 3 | Factorise A 3 B C 3 B 3 C A 3 C 3 A B 3 | ![]() Factorise A 3 B C 3 B 3 C A 3 C 3 A B 3 |
「Factorise a2+b2+c2+2(ab+bc+ca)」の画像ギャラリー、詳細は各画像をクリックしてください。
![]() Factorise A 3 B C 3 B 3 C A 3 C 3 A B 3 | ![]() Factorise A 3 B C 3 B 3 C A 3 C 3 A B 3 | ![]() Factorise A 3 B C 3 B 3 C A 3 C 3 A B 3 |
![]() Factorise A 3 B C 3 B 3 C A 3 C 3 A B 3 | Factorise A 3 B C 3 B 3 C A 3 C 3 A B 3 |
Factorise ab(ab)bc(bc)ca(ca) Thread starter NameIsHidden;S abab bcbc caca factorise N NameIsHidden May 14 3 India {Expand }\;a^2bab^2 b^2c bc^2 ac^2 a^2c\) \(\displaystyle \text{Arrange the terms like this }\;\underbrace{a^2b a^2c}_{\text{terms with }a^2} \underbrace{ac^2
Incoming Term: factorise a2+b2+2(ab+bc+ca), factorise a2+b2+c2+2(ab+bc+ca), factorise a2+b2-2(ab-ac+bc),
















































































0 件のコメント:
コメントを投稿